近日,实验室气候变化关键过程与驱动力团队在小风条件下湍流动量整体输送系数异常增大机理分析方面取得重要进展,相关成果以“On the Mechanisms of Excessively Large Drag Coefficient Under Low-Wind Conditions”为题,发表于国际权威期刊《Geophysical Research Letters》。第一作者为实验室硕士研究生陈龙,论文通讯作者为李煜斌教授和杨元建教授,合作者还包括来自中国气象局雄安大气边界层重点实验室的科研人员。
湍流动量整体输送系数的准确性影响数值模式中湍流通量计算的准确性,并进一步影响模式的整体结果。尤其是小风条件下近地层湍流的独特结构与调控机理仍不明确,现有参数化方案适用性不足的问题日益突出,已成为制约陆气相互作用研究、数值模式改进以及环境气象预报水平提升的关键瓶颈。例如,在小风条件下其随风速的减小而急剧增大,与Monin-Obukhov相似性(MOS)理论预期结果不符。尽管学界已认识这一现象并基于数学方法修改这一参数,但其原因和机理还未有定论。本研究结合多年观测数据和大涡模拟试验系统分析了小风条件下湍流动量整体输送系数异常增大的机理。
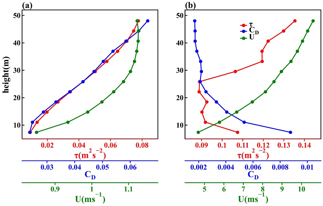
基于多年观测站数据的分析,发现风速对湍流动量整体输送系数异常增大的影响远大于大气稳定性的影响。进一步通过高分辨率WRF-LES大涡模拟技术模研究表明,中等风速条件下MOS理论适用,但小风条件下常值通量层假设失效:25米高度范围内动量通量变化幅度达378%。此时应用MOS理论将得到随高度递增的湍流动量整体输送,从而解释了观测中湍流动量整体输送系数异常偏大的现象。此外,小风条件下湍流动能显著减弱,平均动量通量转为向上传输。进一步分析发现百米尺度涡旋引发逆局部梯度传输,频谱分析证实其在动量通量中占据主导地位。近地层动量通量主要由气压扰动项产生,并通过垂直梯度项向上输送。本研究旨在提升数值模式在小风天气下的模拟与预报能力,为深化陆气相互作用认识、改进大气边界层物理过程提供科学依据与技术支撑。

图1 湍流动量整体输送系数(CD)随近地层风速(观测高度6 m)的变化情况。上一行为US-Whs站点,下一行为US-Wkg站点。左列为不稳定层结状况,右列为稳定层结状况。各子图中的小图为将0-2 m s-1风速对应部分放大。图中圆点表示风速0.1 m s-1间隔的平均值。

图2 (a)小风速条件下和(b)中等风速条件下湍流动量通量(τ)、湍流动量整体输送系数(CD)和风速(U)的垂直廓线。图示为d03区域(02:00–03:00时间序列输出)内7×7网格点的平均结果。
论文资讯及链接:https://doi.org/10.1029/2025GL119865